现金网-线上足球现金网 、海岸与海岛开发教育部重点实验室邹欣庆教授课题组在风电场的微塑料污染特征方面取得新进展。相关成果以“Microplastics in a wind farm area: A case study at the Rudong Offshore Wind Farm, Yellow Sea, China” 为题,刊发在海洋与淡水生物类TOP期刊《Marine Pollution Bulletin》上。论文的第一作者为现金网-线上足球现金网 王腾博士生,通讯作者为邹欣庆教授。
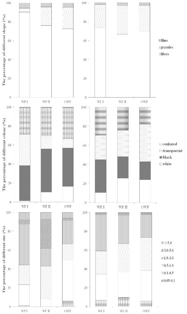
近年来,海上风电场在中国乃至全球海岸带区域得到了快速发展,越来越成为海岸带区域重要的海域利用方式之一。但是目前对于这一海域利用方式中的新兴污染物,尤其是微塑料污染方面研究很少。为了研究风电场区域微塑料的污染特征、空间分布及其影响因素,课题组以如东潮间带风电场为例通过水体和沉积物中微塑料暴露水平和特征的分析,结合该区域的水动力特征进行了研究,得出以下结果与结论:(1)研究区表层水体微塑料的浓度0.330±0.278个/ m3,沉积物中的浓度为2.58±1.14个/ g(干),该区域的微塑料污染水平略高于全球海岸带其它区域。(2)该区域表层水体和沉积物中的微塑料均以纤维类为主(分别占了75.3%和 68.7%),还有一些颗粒类和薄膜类。该区域的微塑料可能主要来自于污水排放带来的衣物纤维类。(3)风电外区域水表和沉积物中的微塑料丰度均高于风电内区域。人类活动影响下的水动力效应是影响当地微塑料分布和迁移的主要因素。风电基座的出现使局部流态产生变化,增加了落潮阶段的底床切应力,使底床沉积物更易被起动和输运,其携带的微塑料也更易被冲走。该项研究既有助于深入了解潮间带风电场的生态环境效应,又可以为进一步研究类似海域利用方式下微塑料污染及迁移特征提供一定的参考。
该研究工作在水动力数据及其分析过程中得到了汪亚平教授课题组的帮助,并得到了国家自然科学基金项目、江苏省自然科学基金以及南京大学博士生创新项目的资助。


图1 如东风电场区域微塑料形貌特征

图2如东风电场区域微塑料空间分布特征


图3 风电场及对比区域切应力及高程变化
论文链接://www.sciencedirect.com/science/article/pii/S0025326X18300614